matElementElementElement functions can be customized with set and show rules.
set and show rules.A matrix.
The elements of a row should be separated by commas, while the rows themselves should be separated by semicolons. The semicolon syntax merges preceding arguments separated by commas into an array. You can also use this special syntax of math function calls to define custom functions that take 2D data.
Content in cells can be aligned with the align
parameter, or content in cells that are in the same row can be aligned with
the & symbol.
Example
$ mat(
1, 2, ..., 10;
2, 2, ..., 10;
dots.v, dots.v, dots.down, dots.v;
10, 10, ..., 10;
) $

ParameterParameterParameters are input values for functions. Specify them in parentheses after the function name.
delim
The delimiter to use.
Can be a single character specifying the left delimiter, in which case the right delimiter is inferred. Otherwise, can be an array containing a left and a right delimiter.
Show example
#set math.mat(delim: "[")
$ mat(1, 2; 3, 4) $

Default value: ("(", ")")
alignSettableSettableSettable parameters can be set using the set rule, changing the default value used thereafter.
set rule, changing the default value used thereafter.The horizontal alignment that each cell should have.
Show example
#set math.mat(align: right)
$ mat(-1, 1, 1; 1, -1, 1; 1, 1, -1) $

Default value: center
augmentSettableSettableSettable parameters can be set using the set rule, changing the default value used thereafter.
set rule, changing the default value used thereafter.Draws augmentation lines in a matrix.
none: No lines are drawn.- A single number: A vertical augmentation line is drawn after the specified column number. Negative numbers start from the end.
- A dictionary: With a dictionary, multiple augmentation lines can be
drawn both horizontally and vertically. Additionally, the style of the
lines can be set. The dictionary can contain the following keys:
hline: The offsets at which horizontal lines should be drawn. For example, an offset of2would result in a horizontal line being drawn after the second row of the matrix. Accepts either an integer for a single line, or an array of integers for multiple lines. Like for a single number, negative numbers start from the end.vline: The offsets at which vertical lines should be drawn. For example, an offset of2would result in a vertical line being drawn after the second column of the matrix. Accepts either an integer for a single line, or an array of integers for multiple lines. Like for a single number, negative numbers start from the end.stroke: How to stroke the line. If set toauto, takes on a thickness of 0.05 em and square line caps.
Show example: Basic usage
$ mat(1, 0, 1; 0, 1, 2; augment: #2) $
// Equivalent to:
$ mat(1, 0, 1; 0, 1, 2; augment: #(-1)) $

Show example: Customizing the augmentation line
$ mat(0, 0, 0; 1, 1, 1; augment: #(hline: 1, stroke: 2pt + green)) $

Default value: none
gap
The gap between rows and columns.
This is a shorthand to set row-gap and column-gap to the same value.
Show example
#set math.mat(gap: 1em)
$ mat(1, 2; 3, 4) $

Default value: 0% + 0pt
row-gapSettableSettableSettable parameters can be set using the set rule, changing the default value used thereafter.
set rule, changing the default value used thereafter.The gap between rows.
Show example
#set math.mat(row-gap: 1em)
$ mat(1, 2; 3, 4) $

Default value: 0% + 0.2em
column-gapSettableSettableSettable parameters can be set using the set rule, changing the default value used thereafter.
set rule, changing the default value used thereafter.The gap between columns.
Show example
#set math.mat(column-gap: 1em)
$ mat(1, 2; 3, 4) $

Default value: 0% + 0.5em
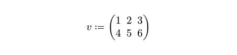
rowsRequiredRequiredRequired parameters must be specified when calling the function.PositionalPositionalPositional parameters can be set by specifying them in order, omitting the parameter name.VariadicVariadicVariadic parameters can be specified multiple times.
An array of arrays with the rows of the matrix.
Show example
#let data = ((1, 2, 3), (4, 5, 6))
#let matrix = math.mat(..data)
$ v := matrix $
